Skip to content Skip to sidebar Skip to footer

How To Find Eigenvectors From Eigenvalues - Check out the latest audiobook episode of coding humans:

How To Find Eigenvectors From Eigenvalues - Check out the latest audiobook episode of coding humans:. Multiply an eigenvector bya, and thevectoraxis a numbertimes the original x. I plugin λ = 9 into the characteristic polynomial equation: The calculator will find the eigenvalues and eigenvectors (eigenspace) of the given square matrix, with steps shown. If t is a linear transformation from a vector space v over a field f into itself and v is a vector in v that is not the zero vector, then v is an eigenvector of t if t (v) is a scalar multiple of v. Eigen vectors and eigen values help us understand linear transformations in a much simpler way and so we find them.

A100was found by using theeigenvaluesofa, not by multiplying 100 matrices. Check out the latest audiobook episode of coding humans: Introduction to eigenvalues and eigenvectors; I plugin λ = 9 into the characteristic polynomial equation: T (v) = a*v = lambda*v is the right relation.

The Matrix A 3 6 3 0 3 3 0 0 0 Has Eigenvalues Chegg Com
The Matrix A 3 6 3 0 3 3 0 0 0 Has Eigenvalues Chegg Com from d2vlcm61l7u1fs.cloudfront.net
To find eigenvectors we must solve the equation below for each eigenvalue: First let's reduce the matrix: Find the eigenvalues and eigenvectors of the matrix 2 6 1 3 from the above discussion we know that the only possible eigenvalues of aare 0 and 5. Find the eigenvalues of a. So clearly from the top row of the equations we get In order to find the eigenvectors for a matrix we will need to solve a homogeneous system. Extract the eigenvalues from the diagonal of d using diag (d), then sort the resulting vector in ascending order. Substitute the value of λ1 in equation ax = λ1 x or (a.

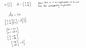
Certain exceptional vectorsxare in the samedirection asax.

In this case, they are the measure of the data's covariance. The calculator will find the eigenvalues and eigenvectors (eigenspace) of the given square matrix, with steps shown. We will again be working with square matrices. here, the characteristic equation turns out to involve a cubic polynomial that can be factored: Eigenvalues are simply the coefficients attached to eigenvectors, which give the axes magnitude. However, the eigenvalues are unsorted. Substitute the value of λ1 in equation ax = λ1 x or (a. An eigenvalue λ of an nxn matrix a means a scalar (perhaps a complex number) such that av=λv has a solution v which is not the 0 vector. − 1 − 2 − 2 − 4 v 1 v 2 = 0 The eigenvalues of a are on the diagonal of d. Certain exceptional vectorsxare in the samedirection asax. Let's create the matrix from example 5.1.4 in the text, and find its eigenvalues and eigenvectors it: So clearly from the top row of the equations we get

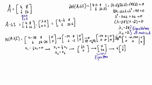
However, the eigenvalues are unsorted. 0 = det(a− λi) 3 3λ 2 + 4=− λ − =− (λ− 1)(λ+2) 2 First let's reduce the matrix: This reduces to the equation. We call such a v an eigenvector of a corresponding to the eigenvalue λ.

Eigenvalues And Eigenvectors
Eigenvalues And Eigenvectors from sites.millersville.edu
In that case the eigenvector is the direction that doesn't change direction ! So clearly from the top row of the equations we get Using the quadratic formula, λ = 9 or λ = 4, so the two eigenvalues are { 9, 4 }. The calculator will find the eigenvalues and eigenvectors (eigenspace) of the given square matrix, with steps shown. First let's reduce the matrix: Let's have a look at what wikipedia has to say about eigenvectors and eigenvalues: To find eigenvectors we must solve the equation below for each eigenvalue: Eigenvalues are special numbers associated with a matrix and eigenvectors are special vectors.

Dot products and length of vectors;

Find the eigenvalues and associated eigenvectors of the matrix a = 2 −1 1 2. Using the quadratic formula, λ = 9 or λ = 4, so the two eigenvalues are { 9, 4 }. Let's create the matrix from example 5.1.4 in the text, and find its eigenvalues and eigenvectors it: Denote each eigenvalue of λ1 , λ2 , λ3 , …. Now we must solve the following equation: So clearly from the top row of the equations we get All that's left is to find the two eigenvectors. There are also many applications in physics, etc. Multiply an eigenvector bya, and thevectoraxis a numbertimes the original x. We call such a v an eigenvector of a corresponding to the eigenvalue λ. We will again be working with square matrices. Check out the latest audiobook episode of coding humans: The calculator will find the eigenvalues and eigenvectors (eigenspace) of the given square matrix, with steps shown.

By ranking your eigenvectors in order of their eigenvalues, highest to lowest, you get the principal components in order of significance. The eigenvalues are immediately found, and finding eigenvectors for these matrices then becomes much easier. Lets begin by subtracting the first eigenvalue 5 from the leading diagonal. Let's have a look at what wikipedia has to say about eigenvectors and eigenvalues: If t is a linear transformation from a vector space v over a field f into itself and v is a vector in v that is not the zero vector, then v is an eigenvector of t if t (v) is a scalar multiple of v.

Http Www Cse Iitm Ac In Vplab Courses Larp 2018 Chap5 Evv Larp Pdf
Http Www Cse Iitm Ac In Vplab Courses Larp 2018 Chap5 Evv Larp Pdf from
− 1 − 2 − 2 − 4 v 1 v 2 = 0 The following are the steps to find eigenvectors of a matrix: An eigenvalue λ of an nxn matrix a means a scalar (perhaps a complex number) such that av=λv has a solution v which is not the 0 vector. In order to find the eigenvectors for a matrix we will need to solve a homogeneous system. Eigenvalues are special numbers associated with a matrix and eigenvectors are special vectors. In that case the eigenvector is the direction that doesn't change direction ! Multiply an eigenvector bya, and thevectoraxis a numbertimes the original x. Certain exceptional vectorsxare in the samedirection asax.

However, the eigenvalues are unsorted.

Recall the fact from the previous section that we know that we will either have exactly one solution (→η = →0 η → = 0 →) or we will have infinitely many nonzero solutions. Then equate it to a 1 x 2 matrix and equate. Eigenvalues are special numbers associated with a matrix and eigenvectors are special vectors. And the eigenvalue is the scale of the stretch: The roots of this polynomial are λ 1 = 2+i and λ 2 = 2−i; here, the characteristic equation turns out to involve a cubic polynomial that can be factored: In order to find the eigenvectors for a matrix we will need to solve a homogeneous system. We want x= (x 1,x 2) such that 2 6 1 3 −0 1 0 0 1 x 1 x 2 = 0 0 the coefficient matrix of this. Let's have a look at what wikipedia has to say about eigenvectors and eigenvalues: The eigenvalues are all the lambdas you find, the eigenvectors are all the v's you find that satisfy t (v)=lambda*v, and the eigenspace for one eigenvalue is the span of the eigenvectors cooresponding to that eigenvalue. Lets begin by subtracting the first eigenvalue 5 from the leading diagonal. The calculator will find the eigenvalues and eigenvectors (eigenspace) of the given square matrix, with steps shown. Substitute the value of λ1 in equation ax = λ1 x or (a.

Extract the eigenvalues from the diagonal of d using diag (d), then sort the resulting vector in ascending order how to find eigenvectors. Consider an eigen value equation, ax = λ x here x is the eigen vector and λ (which is a scalar) is the eigen value corresponding to a.